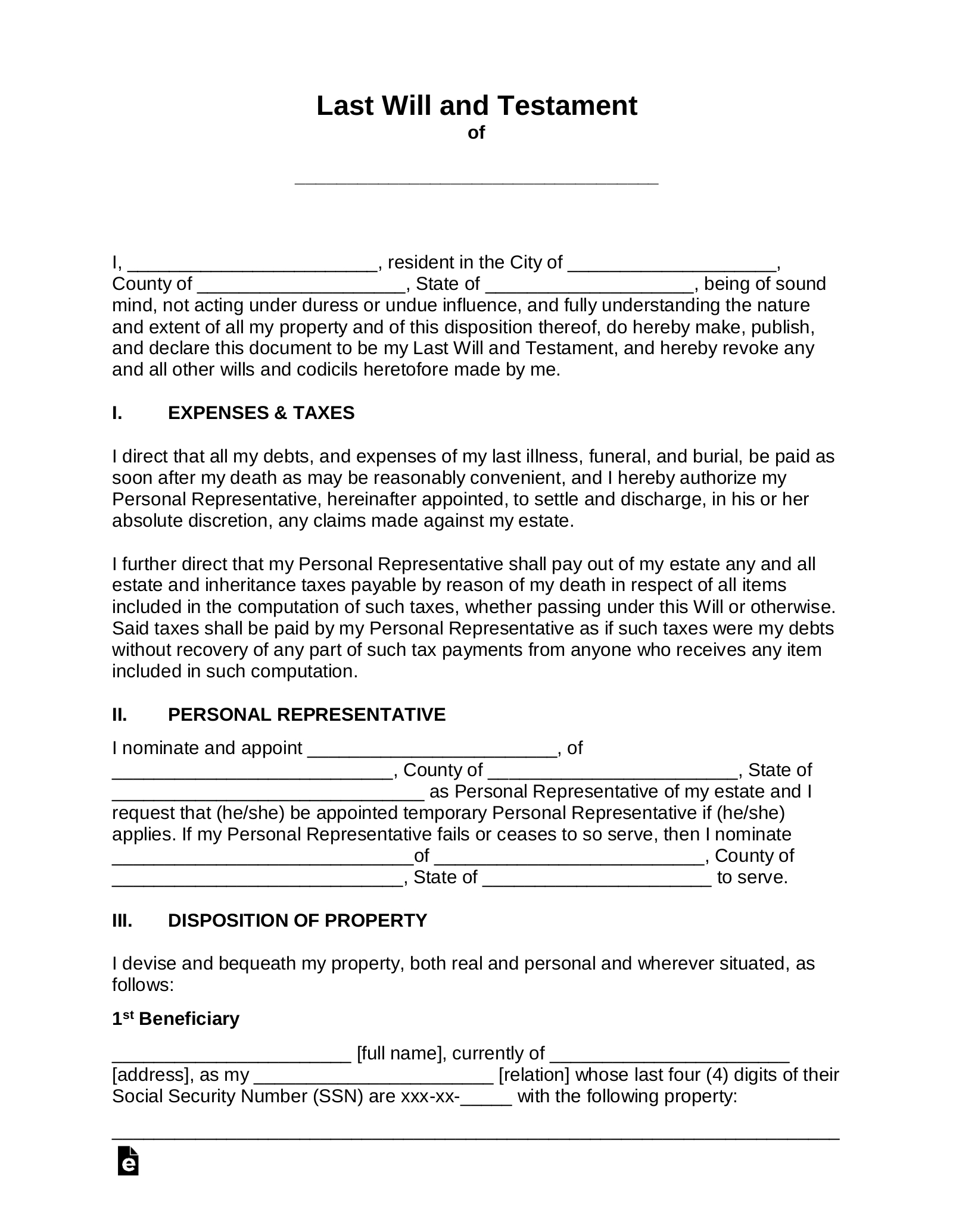
Downloadable Free Printable Will Forms
Are you looking for a convenient and cost-effective way to create a will? Look no further than downloadable free printable will forms! These forms are a fantastic option for individuals who want to ensure their wishes are carried out after they pass away. By using these forms, you can easily outline how you want your assets to be distributed and who you want to take care of your affairs. With just a few clicks and some thoughtful consideration, you can have a legally binding will in hand without the need to hire an expensive attorney.
Easy-to-Use Templates
Downloadable free printable will forms come in a variety of templates to suit your specific needs. Whether you have a large estate or just a few assets, there is a template out there for you. These forms often include sections for naming beneficiaries, appointing guardians for children, and outlining any special requests you may have. The templates are designed to be user-friendly and easy to fill out, making the process of creating a will simple and stress-free.
Creating a will is an essential part of estate planning, and downloadable free printable will forms make it easier than ever to get started. With these forms, you can take control of your legacy and ensure that your loved ones are taken care of according to your wishes. Don’t wait until it’s too late – download a free printable will form today and give yourself peace of mind knowing that your affairs are in order.
Related Printables..
Our Image Sourcing Philosophy: To provide a rich visual experience, we utilize images deemed to be in the public domain or suitable for editorial reporting. We strive for full compliance with copyright law. Should you identify an image that is your intellectual property and object to its use, please inform us. We will address your valid copyright claim promptly.
Downloadable Free Printable Will Forms
<”img” src="”https://printablex.org/wp-content/uploads/2025/11/free-printable-last-will-and-testament-templates-pdf-word-within-downloadable-free-printable-will-forms.jpg”" alt="”Free" 1="Last" 2="Will" 3="And" 4="Testament" 5="Templates" 6="[Pdf," 7="Word"/> within Downloadable Free Printable Will Forms”]


