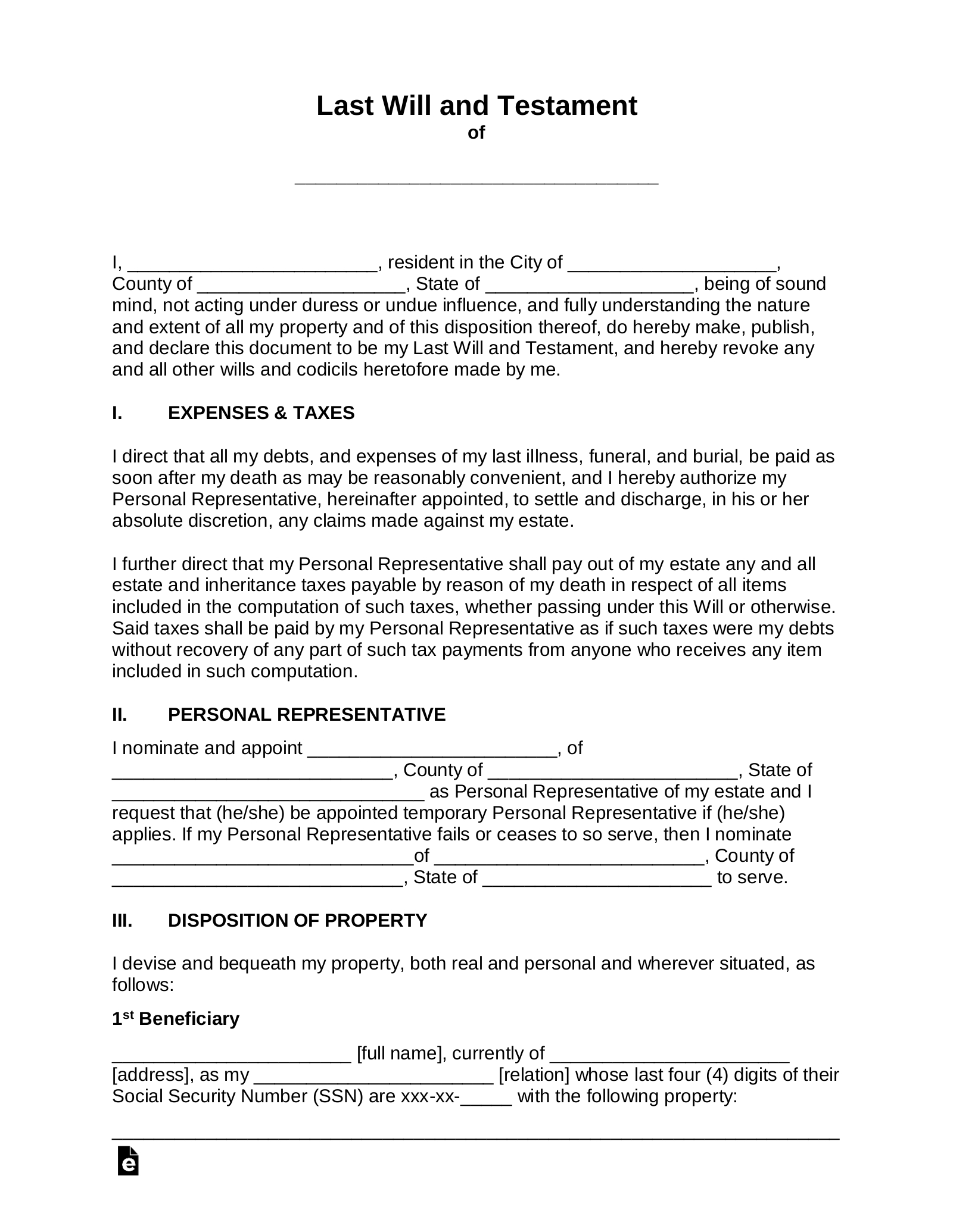
Free Printable Basic Simple Last Will and Testament
Are you looking for a simple and free way to create your Last Will and Testament? Look no further! With free printable basic simple Last Will and Testament templates, you can easily outline your wishes and ensure that your assets are distributed according to your desires. Creating a will is an essential part of estate planning and can provide peace of mind for you and your loved ones.
Easy-to-Use Templates
With free printable basic simple Last Will and Testament templates, you can quickly and easily fill in the blanks to create a legally binding document. These templates are designed to be user-friendly and can be customized to fit your specific needs. Whether you have a large estate or just a few assets to distribute, a Last Will and Testament template can help you ensure that your wishes are carried out as you intended.
Creating a will doesn’t have to be a daunting task. With the help of these free printable templates, you can take the first step towards securing your legacy and providing for your loved ones. Don’t wait until it’s too late – take control of your estate planning today with a simple Last Will and Testament template.
Peace of Mind
By creating a Last Will and Testament, you can rest easy knowing that your assets will be distributed according to your wishes. This can provide peace of mind for you and your loved ones, knowing that your affairs are in order. A will can also help to avoid conflicts and disputes among family members after you are gone, ensuring a smooth transition of your assets.
In addition to outlining how your assets should be distributed, a Last Will and Testament can also address other important matters such as guardianship of minor children, funeral arrangements, and charitable donations. By taking the time to create a will now, you can ensure that your wishes are carried out and provide for your loved ones in the future.
Related Printables..
Our Image Sourcing Philosophy: To provide a rich visual experience, we utilize images deemed to be in the public domain or suitable for editorial reporting. We strive for full compliance with copyright law. Should you identify an image that is your intellectual property and object to its use, please inform us. We will address your valid copyright claim promptly.
Free Printable Basic Simple Last Will and Testament



