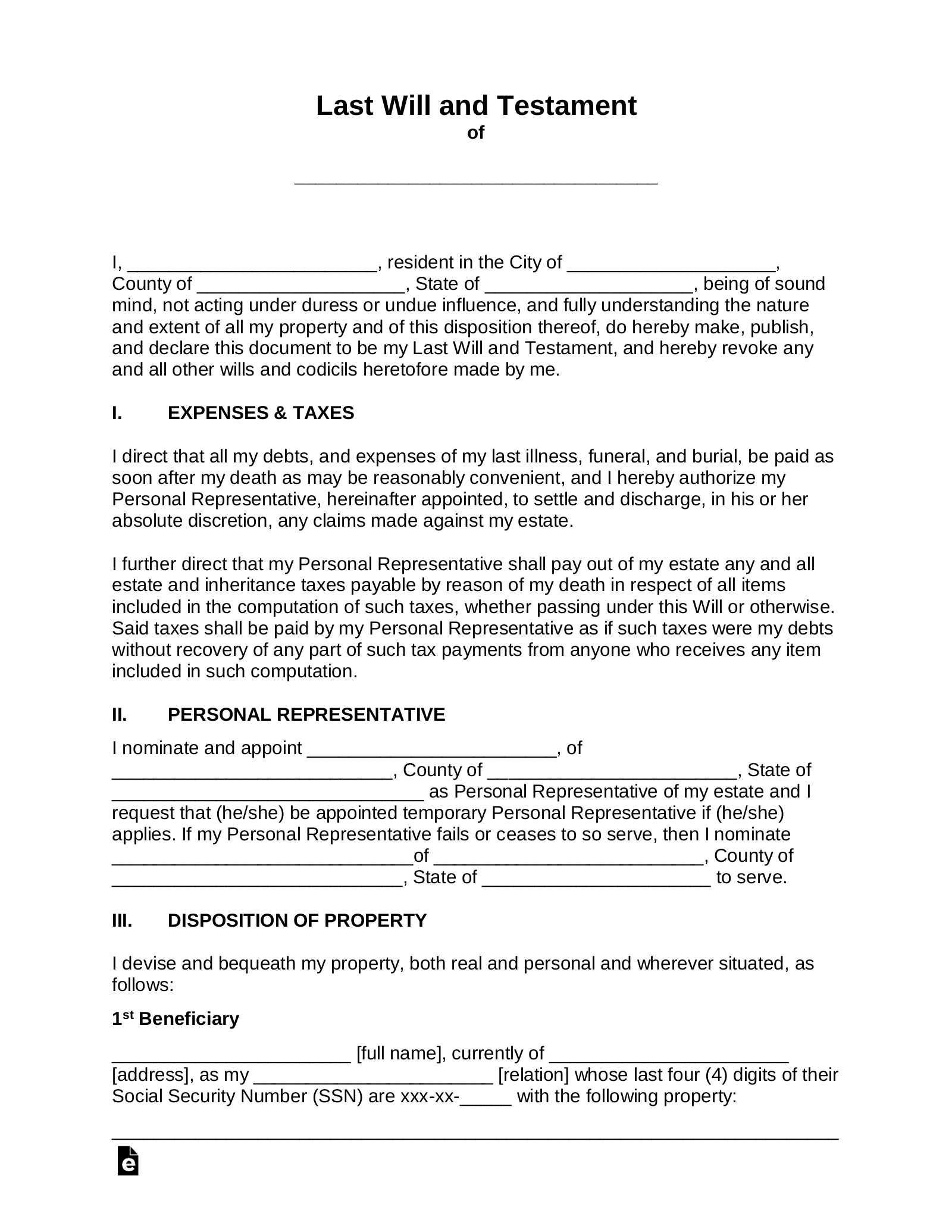
Free Printable Last Will and Testament Template
Are you looking for a simple and convenient way to create your Last Will and Testament? Look no further! With a free printable template, you can easily outline your final wishes and ensure that your assets are distributed according to your desires. Creating a will doesn’t have to be a daunting task – in fact, it can be a straightforward and even empowering process. By using a printable template, you can take control of your legacy and ensure that your loved ones are taken care of after you’re gone.
Personalize Your Plan
One of the greatest benefits of using a free printable Last Will and Testament template is the ability to personalize your plan. You can customize the template to reflect your unique circumstances and wishes, whether you’re leaving behind a large estate or simply want to ensure that your beloved pet is cared for. By filling in the blanks and making basic decisions about your assets and beneficiaries, you can create a legal document that reflects your values and priorities. Plus, you can update your will as needed, ensuring that it remains current and relevant.
Creating a Last Will and Testament doesn’t have to be a somber or intimidating task. In fact, by using a free printable template, you can approach the process with creativity and even a sense of humor. Consider adding personal touches or inside jokes to your will, making it a reflection of your personality and spirit. By infusing your will with positivity and warmth, you can create a document that not only outlines your final wishes but also celebrates your life and relationships. With a free printable template, you can create a Last Will and Testament that is uniquely yours and truly memorable.
Related Printables..
Our Image Sourcing Philosophy: To provide a rich visual experience, we utilize images deemed to be in the public domain or suitable for editorial reporting. We strive for full compliance with copyright law. Should you identify an image that is your intellectual property and object to its use, please inform us. We will address your valid copyright claim promptly.
Free Printable Last Will and Testament Template



