Printable Blank Will Forms Free
Are you looking for printable blank will forms for free? Look no further! Creating a will is an important step in ensuring that your wishes are carried out after you pass away. With printable blank will forms, you can easily customize and fill out your own will without the need for expensive legal fees. This convenient option allows you to take control of your estate planning in a simple and cost-effective way.
Easy-to-Use Templates
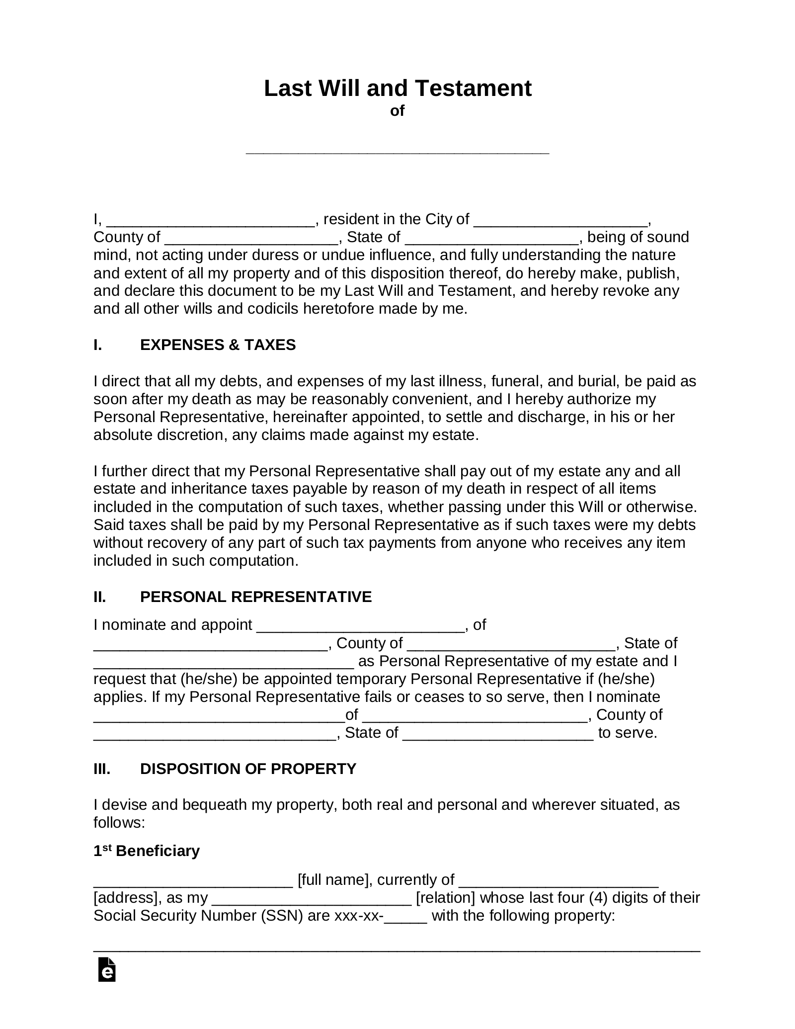
With printable blank will forms, you can choose from a variety of templates that suit your specific needs. Whether you have a large estate or just a few assets to distribute, there is a template that will work for you. These forms typically include sections for naming beneficiaries, specifying guardians for minor children, and outlining how your assets should be distributed. By using these templates, you can ensure that your wishes are clearly stated and legally binding.
Creating a will can seem like a daunting task, but printable blank will forms make it easy and stress-free. You can simply fill in the blanks with your personal information and preferences, making the process quick and efficient. Additionally, these forms are designed to be user-friendly, with clear instructions and guidance on how to properly complete them. With printable blank will forms, you can have peace of mind knowing that your affairs are in order and your loved ones are taken care of.
Cost-Effective Solution
One of the greatest advantages of printable blank will forms is that they are completely free. Instead of spending hundreds or even thousands of dollars on legal fees to have a will drafted for you, you can simply download a template and fill it out yourself. This cost-effective solution allows you to create a legally binding will without breaking the bank. Additionally, printable blank will forms are easily accessible online, so you can start the process right away without any delays.
By using printable blank will forms, you can take control of your estate planning in a convenient and affordable way. These templates offer a simple and effective solution for creating a will that accurately reflects your wishes. Whether you are just starting to think about estate planning or need to update an existing will, printable blank will forms are a great resource to have on hand. Take advantage of this free and easy-to-use option to ensure that your loved ones are provided for according to your wishes.
Related Printables..
Our Image Sourcing Philosophy: To provide a rich visual experience, we utilize images deemed to be in the public domain or suitable for editorial reporting. We strive for full compliance with copyright law. Should you identify an image that is your intellectual property and object to its use, please inform us. We will address your valid copyright claim promptly.
Printable Blank Will Forms Free



